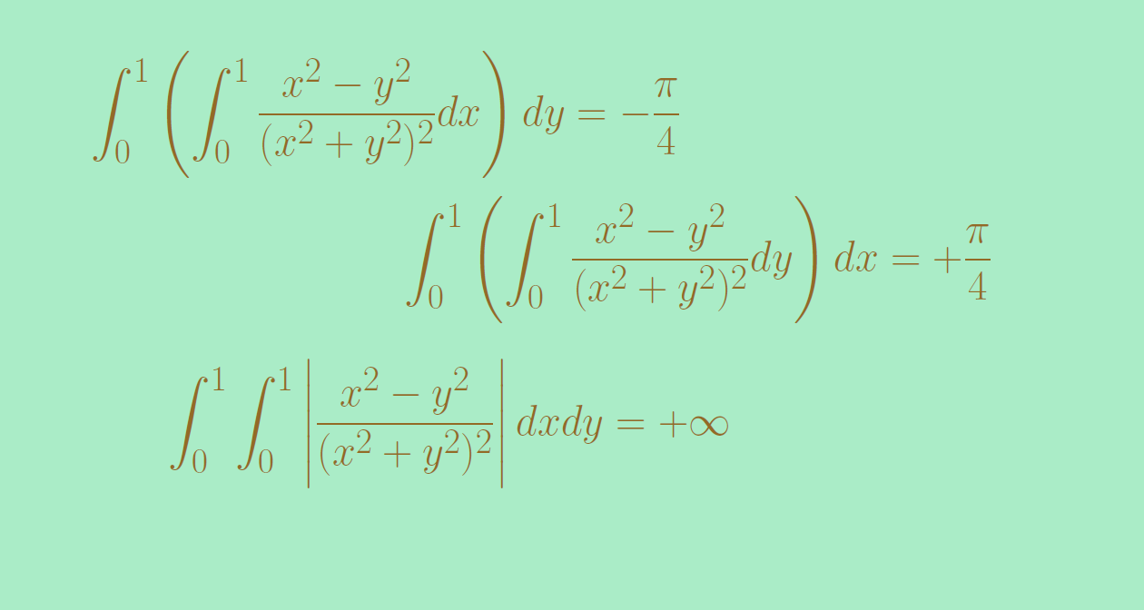
counterexamples-around-fubini-s-theorem-image October 31, 2015 1260 × 672 counterexamples-around-fubini-s-theorem-image A non integrable function for which the two repeated integrals have different values.